-
์์ ํธ๋ฆฌ์ ๋ณํ (Quantum Fourier Transform)์นดํ ๊ณ ๋ฆฌ ์์ 2024. 6. 12. 00:38๋ฐ์ํ
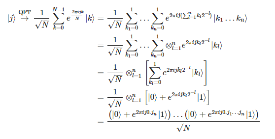
์์ ํธ๋ฆฌ์ ๋ณํ(QFT)์ ์ด์ฐ ํธ๋ฆฌ์ ๋ณํ(DFT)์ ์์ ์ปดํจํฐ๋ฅผ ํตํด ์ํํ๋ ์๊ณ ๋ฆฌ์ฆ์ด๋ค.
QFT์ ์๊ฐ ๋ณต์ก๋๋ O((log N)^2)์ผ๋ก ๊ณ ์ ์ปดํจํฐ์์ FFT์ ์๊ฐ ๋ณต์ก๋ O(NlogN)์ ๋นํด ์ง์์ ์ผ๋ก ๋น ๋ฅด๊ฒ ์ํ๋๋ค. ๊ตฌํ์ Hadamard gate์ Controlled phase gate๋ก ๊ตฌ์ฑ๋๋ค.
Hadamard gate
$ H=\frac{1}{\sqrt{2}}\begin{bmatrix}
1 & 1 \\
1 & -1 \\
\end{bmatrix} $Controlled phase gate
$R_m=\begin{bmatrix}
1 & 0 \\
0 & \frac{2\pi i}{2m} \\
\end{bmatrix}$์ผ๋ฐ์ ์ผ๋ก DFT์ ๊ธธ์ด๊ฐ N(=2^n)์ธ ๋ฐฐ์ด์ ๋ํด ์ ์๋๋ ๊ฒ์ ๋นํด QFT๋ orthonormal basis |0>, |1>, ... |N-1>์ ๋ํด ๋ค์๊ณผ ๊ฐ์ด ์ ์๋๋ค.
